Предмет: Математика,
автор: Dddhdhd
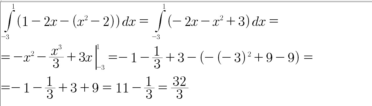
Найти площадь фигуры ограниченной линиями y=x^2-2, y=1-2x
Ответы
Автор ответа:
0
см рисунок + решение
=====================
=====================
Приложения:
Похожие вопросы
Предмет: Русский язык,
автор: nastya130896
Предмет: Информатика,
автор: reyfonfifa98
Предмет: Окружающий мир,
автор: gbhekdbbshhdn
Предмет: История,
автор: lebedevasarina