Предмет: Математика,
автор: Dddhdhd
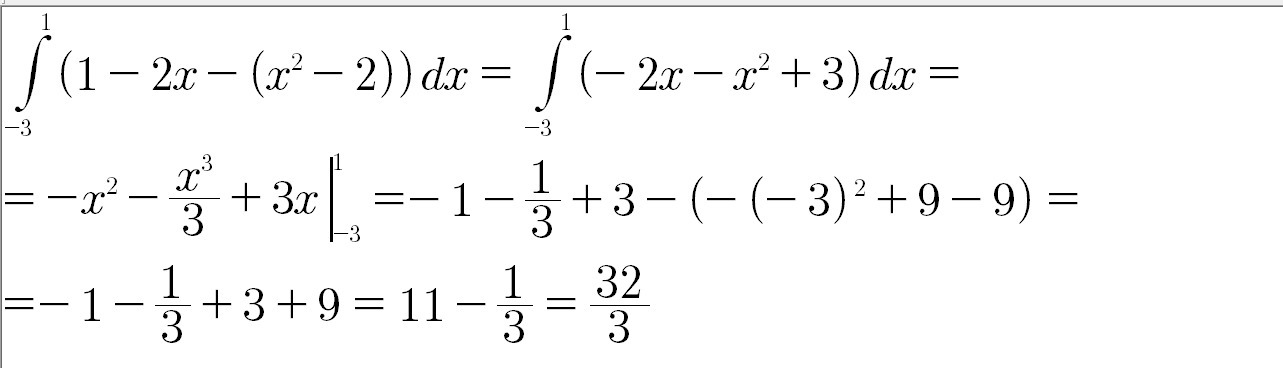
Найти площадь фигуры ограниченной линиями y=x^2-2, y=1-2x
Ответы
Автор ответа:
0
см фото + решение
================================
================================
Приложения:
Похожие вопросы
Предмет: Алгебра,
автор: kristina04310
Предмет: Английский язык,
автор: mishada3232
Предмет: Алгебра,
автор: bilyalolakim
Предмет: Математика,
автор: Лиза555555555
Предмет: Математика,
автор: ivallcom