Предмет: Алгебра, автор: 144445678

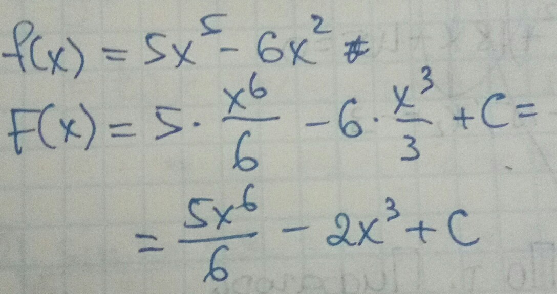
Найти Все первообразные данной функции: f(x)=5x^5-6x^2

Ответы

Автор ответа: Аноним
0
Решение смотрите в приложении
Приложения:
Похожие вопросы
Предмет: Алгебра, автор: sofamiss28
Предмет: Алгебра, автор: maleleksandrova
Предмет: Алгебра, автор: ajkumisajka
Предмет: Математика, автор: АляПек