Предмет: Математика,
автор: egorj2017
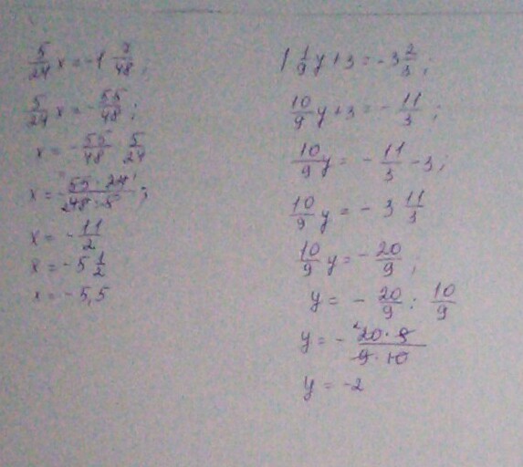
5/24х=-1цел.7/48;
1цел.1/9у+3=-3цел.2/3
Приложения:
Ответы
Автор ответа:
0
надеюсь понятно написано
Приложения:
Похожие вопросы
Предмет: История,
автор: shokhtybaymunar
Предмет: Химия,
автор: siabandovstepan
Предмет: Математика,
автор: verasobko5
Предмет: Литература,
автор: kovtan