Предмет: Алгебра,
автор: 45689123
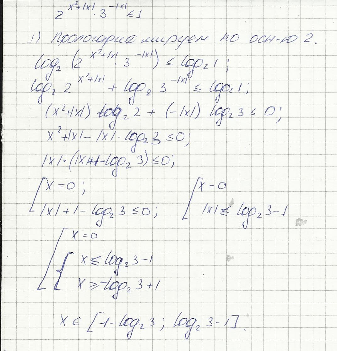
( 2^(x^2+[x]) ) *( 3^(-[x] ) <=1
Ответы
Автор ответа:
0
Логарифмируем выражение по основанию 2
Приложения:
Похожие вопросы
Предмет: Обществознание,
автор: Ksenia17092007
Предмет: Физика,
автор: nurpejsovaajsulu65
Предмет: Қазақ тiлi,
автор: margaritazujkina
Предмет: Литература,
автор: Аноним
Предмет: Литература,
автор: Spiriga