Предмет: Алгебра,
автор: Skroll228
Представте в виде многочлена
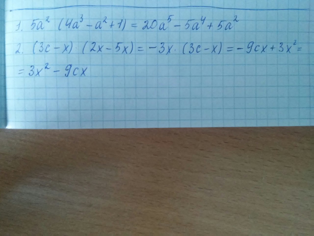
1) 5а^2(4a^3-a^2+1)
2) (3c-x)(2x-5x)
Ответы
Автор ответа:
0
Краткие объяснения:
Многочлен - есть сумма или разность одночленов.
Для того чтобы представить твои выражения нужно просто раскрыть скобки по всем известным правилам, в простонародье "перемножить" число перед скобкой на те, что в скобках. Я надеюсь в моем решении ты увидишь принцип.
При перемножении чисел с одинаковым основанием, показатели их степеней складываются. На это тоже обрати внимание.
Будут вопросы в коменты пиши, отвечу.
Удачи!)
Многочлен - есть сумма или разность одночленов.
Для того чтобы представить твои выражения нужно просто раскрыть скобки по всем известным правилам, в простонародье "перемножить" число перед скобкой на те, что в скобках. Я надеюсь в моем решении ты увидишь принцип.
При перемножении чисел с одинаковым основанием, показатели их степеней складываются. На это тоже обрати внимание.
Будут вопросы в коменты пиши, отвечу.
Удачи!)
Приложения:
Похожие вопросы
Предмет: Алгебра,
автор: nurbanubahytzan121
Предмет: Русский язык,
автор: mariafedulova77
Предмет: Алгебра,
автор: muhomedanovaalbina98
Предмет: Физика,
автор: Garetbale
Предмет: Математика,
автор: трудно1