Предмет: Алгебра,
автор: Тима001
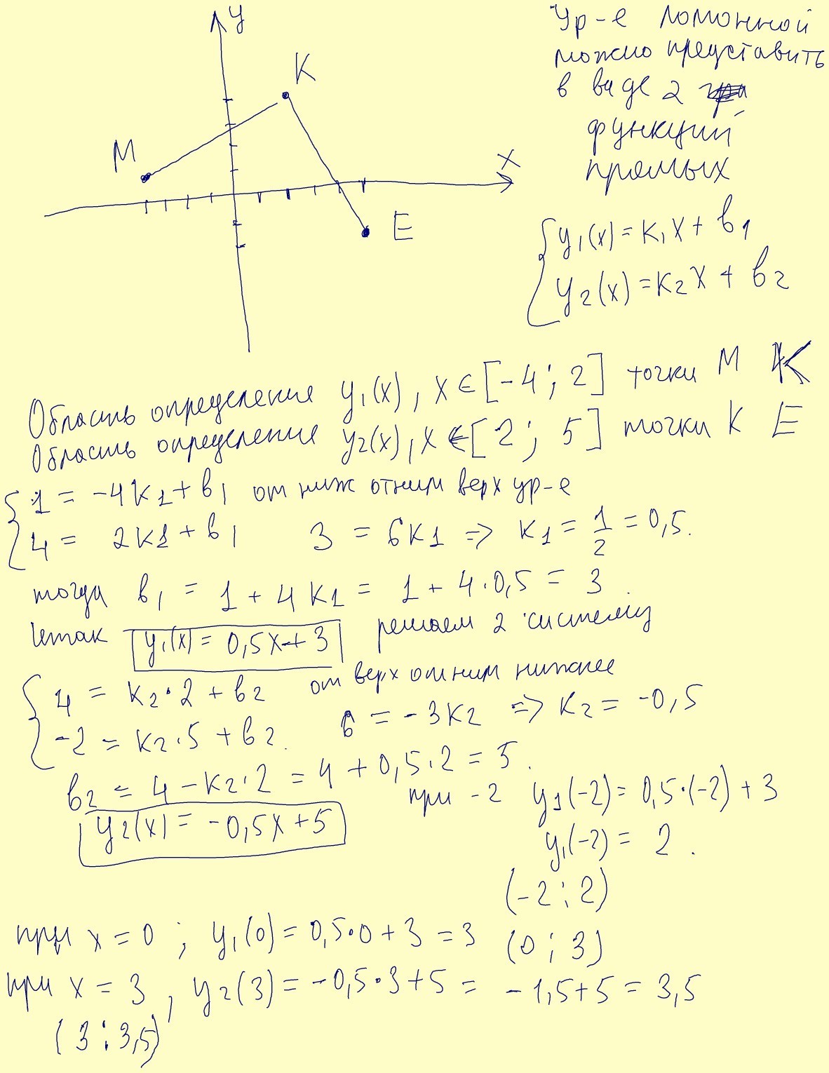
Помогите решить номер 25.12,пожалуйста!
Приложения:
Ответы
Автор ответа:
0
цвакупа3кп3упу3п3упу3апу3ап3уап3
Приложения:
Похожие вопросы
Предмет: Алгебра,
автор: Lqdqiaq
Предмет: Математика,
автор: marina733071
Предмет: Алгебра,
автор: babamladshy
Предмет: Математика,
автор: amosoyan
Предмет: Геометрия,
автор: 234653rf