Предмет: Алгебра, автор: crazydj123

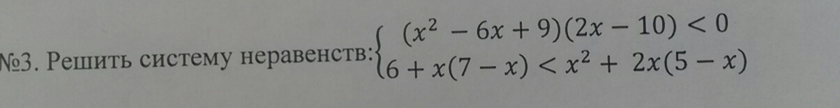
Решите систему неравенств

Приложения:

Ответы

Автор ответа: NNNLLL54
0
 left { {{(x^2-6x+9)(2x-10) textless  0} atop {6+x(7-x) textless  x^2+2x(5-x)}} right. ;  left { {{2(x-3)^2(x-5) textless  0} atop {6+7x-x^2 textless  x^2+10x-2x^2}} right. ;  left { {{(x-3)^2(x-5) textless  0} atop {3x textgreater  6}} right. \\(x-3)^2(x-5) textless  0quad ---(3)---(5)+++\\xin (-infty ,5)\\3x textgreater  6; ,; ; x textgreater  2; ,; ; xin (2,+infty )\\ left { {{xin (-infty ,5)} atop {xin (2,+infty )}} right. quad Rightarrow ; ; ; xin (2,5)
Автор ответа: crazydj123
0
Спасибо
Похожие вопросы
Предмет: Русский язык, автор: artemiilebedev4