Предмет: Алгебра,
автор: pes8998
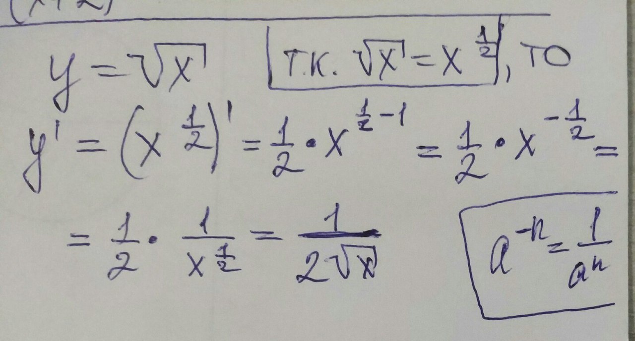
Найдите производную функции y= корень из x
Ответы
Автор ответа:
0
Ответ: 1/(2√х)
Подробный ответ смотри в приложении
Подробный ответ смотри в приложении
Приложения:
Похожие вопросы
Предмет: Русский язык,
автор: KOFIOKuWu
Предмет: Математика,
автор: kostarevsergei88
Предмет: Українська мова,
автор: aseeva20101909
Предмет: Математика,
автор: Polin7riЯ