Предмет: Алгебра,
автор: katsiukvitaly
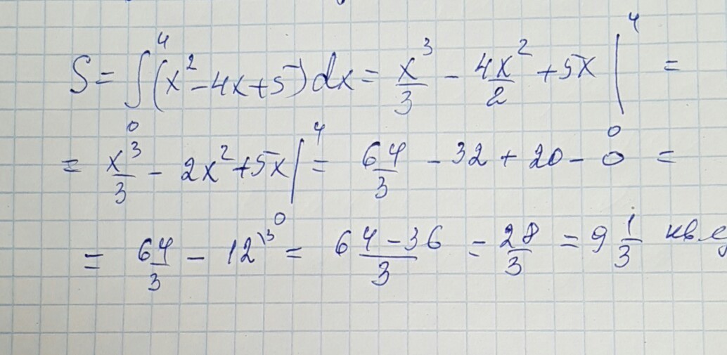
обчисліть площу фігури, обмеженої заданими лііями(4-8)
y=x2-4x+5, y=0, x=0, x=4
Ответы
Автор ответа:
0
решение задания смотри на фотографии
Приложения:
Похожие вопросы
Предмет: Математика,
автор: zapasnoiakk22008
Предмет: Химия,
автор: fasteer
Предмет: Математика,
автор: tkacenkosofia43
Предмет: Математика,
автор: ребята1
Предмет: Информатика,
автор: Alex2104