Предмет: Алгебра,
автор: kumunzhiev
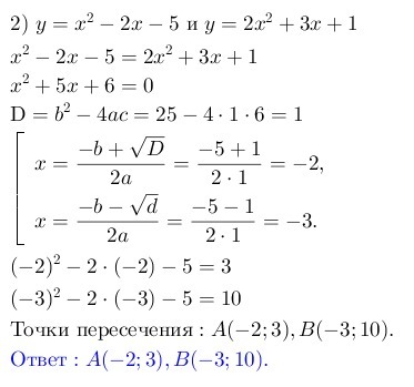
Найдите координаты точек пересечения графиков функций (2 которое сверху)
Приложения:
Ответы
Автор ответа:
0
Смотрите решение в прикреплённом файле.
Приложения:
Автор ответа:
0
Вот. Попыталась решить
Приложения:
Похожие вопросы
Предмет: Русский язык,
автор: avgordienko200945
Предмет: Русский язык,
автор: Аноним
Предмет: Математика,
автор: narmivotaner
Предмет: Математика,
автор: anna242
Предмет: Литература,
автор: sergeyromanovich