Предмет: Математика, автор: Aizaveronichi

Владелец ломбарда выставил на прилавок целый набор золотых украшений: браслеты, цепи и брошки, купленных по случаю на аукционе. Все украшения делились на 3 лота:

1)Первый состоял из одного браслета, 3 цепочек и 5 брошек, его владелец ломбарда купил за 420 долларов

2)Второй лот состоял из 1 браслета, 2 цепочек и 3 брошек и стоил 320 долларов

3) Третий из 3 браслетов, 1 цепочки и 1 брошки

Сколько владелец ломбарда заплатил за 3 лот?

Ответы

Автор ответа: ужнеужели
0
 

Искал в условии критерий выбора цены и не нашел. Спасибо hote, нашла полное условие и скинула.  Критерий в перечне возможных ответов. Условие прилагаю. 

Ответ - 520 долларов.
Приложения:
Автор ответа: hote
0
Полное условие задачи содержит варианты ответов: 

A) 410; B) 720; C) 520; D) 840; E) 320

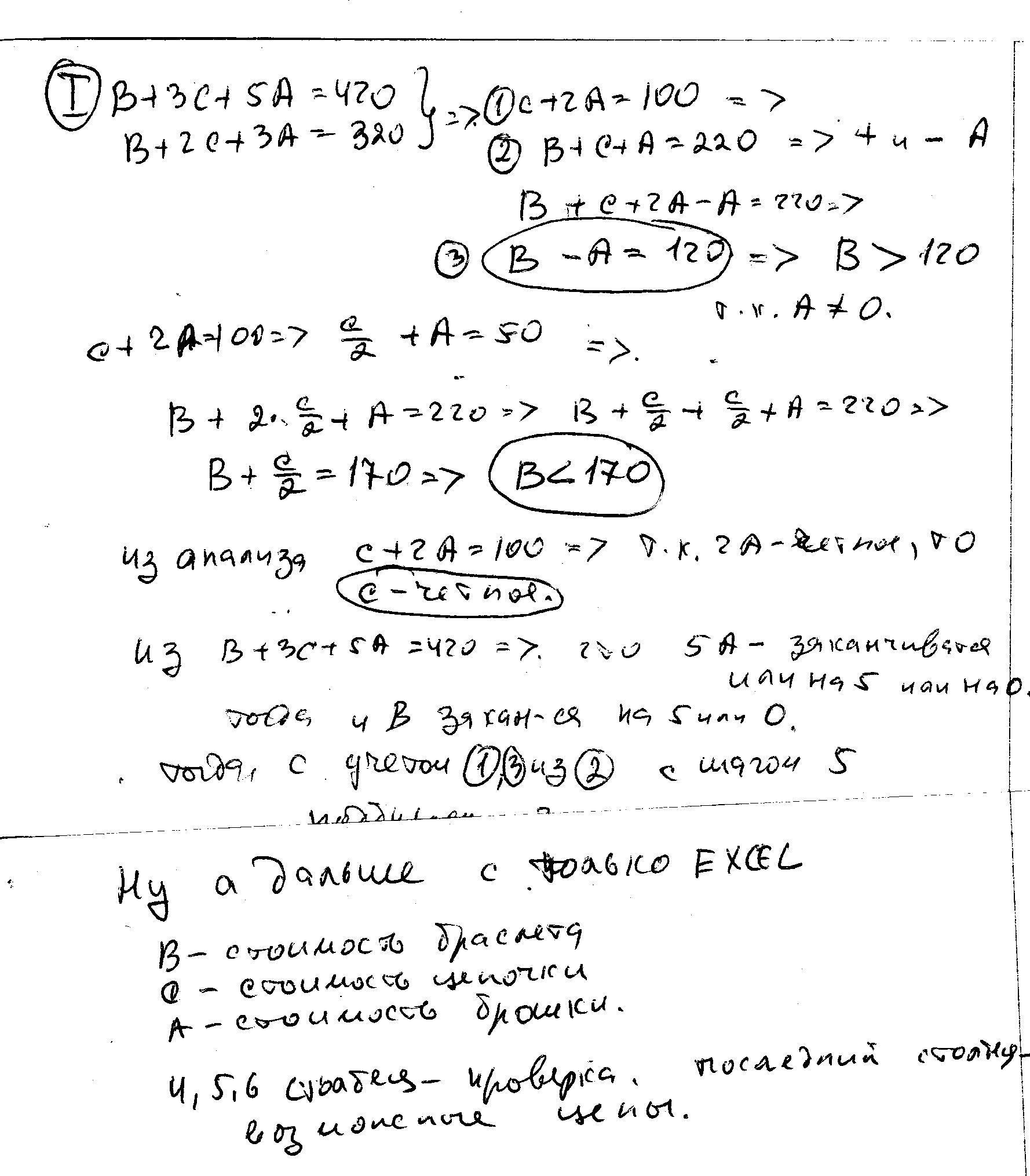
Пусть B-браслет, Z-цепочка, Br- брошь

тогда решение упрощается

Решение: 

displaystyle  left { {{B+3Z+2Br=420} atop {B+2Z+3Br=320}} right.

вычтем из первого уравнения второе

displaystyle Z+2Br=100

теперь вычтем из второго то что получили: 

displaystyle B+Z+Br=220

теперь имеем два условия:

displaystyle left { {{Z+2Br=100} atop {B+Z+Br=220}} right.

Нам остается просто проверить предложенные ответы: 

320; 410; 520; 720; 840

1) пусть 3B+Z+Br=320
тогда
2B+220=320
2B=100
B=50
подставим в наше условие: 

Z+2Br=100;
50+Z+Br=220. тогда Z+Br=170
противоречие Br отрицательное число


2) пусть 3B+Z+Br=410
тогда 2B+220=410; 2B=190; B=95
опять подставим в условие
Z+Br=125
 Z+2Br=100
 и опять браслет отрицательная стоимость


3) Пусть 3B+Z+Br=520
тогда 2B+220=520; 2B=300; B=150
проверим под наше условие:
Z+Br=70
Z+2Br=100
тогда Br=30. Z=70

ответ подходит


4) Пусть 3B+Z+Br=720
тогда 2B=500; B=250
проверим по условию
 Z+Br=200-250<0

Не подходит.. 
 Дальше нет смысла проверять
 
 
 Ответ : 520

Приложения:
Похожие вопросы
Предмет: Алгебра, автор: avstralid
Предмет: Алгебра, автор: avstralid
Предмет: Математика, автор: ВАЛЕРИ11111