Предмет: Математика,
автор: dysiee
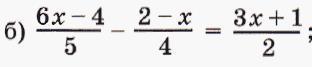
Решить уравнение, умножив его так, чтоб избавиться от знаменателей!
Приложения:
Ответы
Автор ответа:
0
Решение смотри на фото
Приложения:
Похожие вопросы
Предмет: Математика,
автор: Аноним
Предмет: Литература,
автор: helpmeplease0029
Предмет: География,
автор: SashaYlianowa
Предмет: Алгебра,
автор: Aprelskaya988
Предмет: Математика,
автор: hhj2565210