Предмет: Алгебра,
автор: Жирок123
Ребята,я вас умоляю! Помогите мне с 1 вариантом. Заранее огромное вам СПАСИБО! Кто мне поможет,того никогда не забуду! Люблю вас!
Приложения:
Ответы
Автор ответа:
0
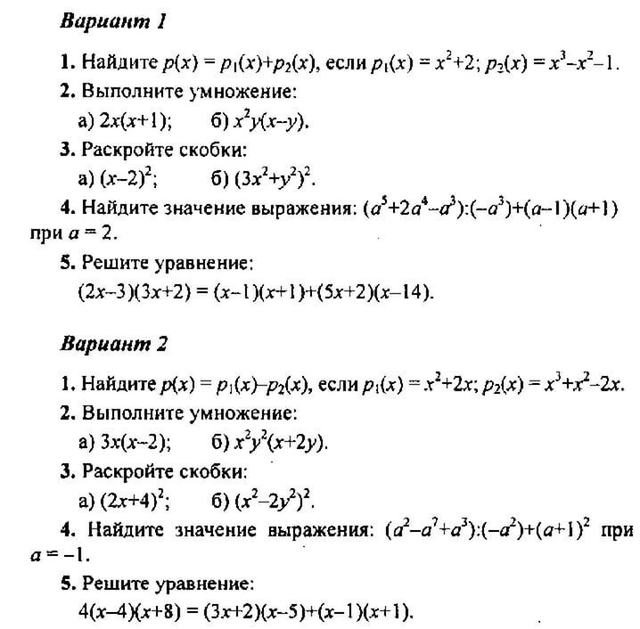
1) p(x)= x²+2+x³-x²-1= x³+1
2) a) 2x(x+1)= 2x*x+2x*1= 2x²+2x;
б) x²y(x-y)= x²y*x-x²y*y=x³y-x²y²;
3) a) (x-2)²= x²-2*x*2+2²= x²-4x+4;
б) (3x²+y²)²= (3x²)²+2*3x²*y²+(y²)²= 9x^4+6x²y²+y^4;
4) (2^5+2*2^4-2^3):(-2^3) + (2-1)*(2+1)= (32+32-8):(-8) + 3= 56:(-8) +3= -7+3= -4;
5) (2x-3)(3x+2) = (x-1)(x+1)+(5x+2)(x-14)
6x²+4x-9x-6 = x²+x-x-1+5x²-70x+2x-28
6x²-5x-6 = 6x²-68x-29
6x²-6x²-5x+68x-6+29 = 0
63x+23 = 0
x=-23:63 ;
2) a) 2x(x+1)= 2x*x+2x*1= 2x²+2x;
б) x²y(x-y)= x²y*x-x²y*y=x³y-x²y²;
3) a) (x-2)²= x²-2*x*2+2²= x²-4x+4;
б) (3x²+y²)²= (3x²)²+2*3x²*y²+(y²)²= 9x^4+6x²y²+y^4;
4) (2^5+2*2^4-2^3):(-2^3) + (2-1)*(2+1)= (32+32-8):(-8) + 3= 56:(-8) +3= -7+3= -4;
5) (2x-3)(3x+2) = (x-1)(x+1)+(5x+2)(x-14)
6x²+4x-9x-6 = x²+x-x-1+5x²-70x+2x-28
6x²-5x-6 = 6x²-68x-29
6x²-6x²-5x+68x-6+29 = 0
63x+23 = 0
x=-23:63 ;
Похожие вопросы
Предмет: Геометрия,
автор: adebel
Предмет: Литература,
автор: polin4ik936
Предмет: Математика,
автор: dimd05945
Предмет: Литература,
автор: 220376
Предмет: Химия,
автор: wwwksyshary15