Предмет: Алгебра,
автор: girl1234566
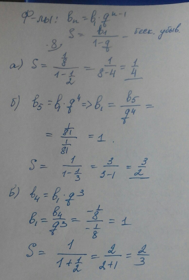
найти сумму бесконечно убывающей прогрессии a)q= 1/2 b1 = 1/8
c) q=1/3 b5 =1/81
D) q = - 1/2 b4= - 1/8
Ответы
Автор ответа:
0
решение смотреть в приложении
Приложения:
Похожие вопросы
Предмет: Алгебра,
автор: natalamoska
Предмет: Математика,
автор: Валерия12346
Предмет: Русский язык,
автор: delfifikom
Предмет: Математика,
автор: Григорий201502
Предмет: Математика,
автор: викаструч