Предмет: Математика,
автор: Toлик1311
помогите пожалуйста решить примеры,очень надо, заранее благодарим
Приложения:
Ответы
Автор ответа:
0
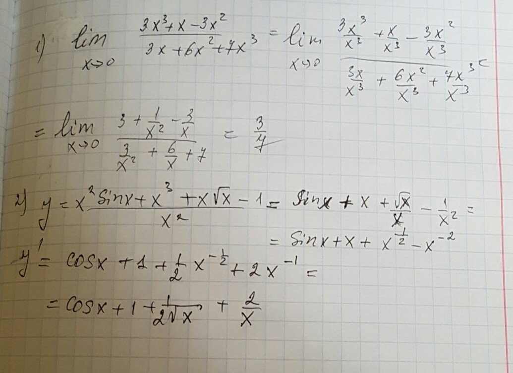
решение задания смотри на фотографии
Приложения:
Похожие вопросы
Предмет: Математика,
автор: tsup4444
Предмет: Математика,
автор: helloklily
Предмет: Русский язык,
автор: bsmoon
Предмет: Алгебра,
автор: Амелиза