Предмет: Алгебра,
автор: Sherz0d
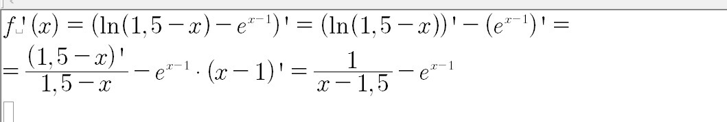
f'(x)=(ln(1,5-x)-e^(x-1))'
Приложения:
Ответы
Автор ответа:
0
см скрин-решение
===================
===================
Приложения:
Похожие вопросы
Предмет: Математика,
автор: andrei939
Предмет: Математика,
автор: marydied1
Предмет: Литература,
автор: notchelovek
Предмет: Геометрия,
автор: mamber