Предмет: Алгебра,
автор: Trololloshenka
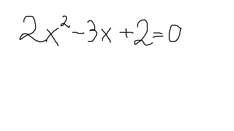
Сколько корней имеет уравнение ?
а) Один. б) Два. в) Ни одного. г) Определить невозможно.
(желательно с решением пожалуйста)
Приложения:
Ответы
Автор ответа:
0
Ни одного, так как дискриминант меньше ноля. Это парабола, чьи ветви направлены вверх и вершина лежит над осью абсцисс, а соответственно, пересечений с ней не имеет, ровно как и корней.
Поэтому,
Ответ в) Ни одного.
Автор ответа:
0
2х^2 - 3х + 2 = 0
D = b^2 -4ac
D = 9 - 4*2*2 = 9 - 16 = -7 <0
уравнение имеет вид параболы.
ветви которой направлены вверх .
В
Похожие вопросы
Предмет: Математика,
автор: cawa202020
Предмет: Математика,
автор: slavakucin7892
Предмет: Русский язык,
автор: lizavanukova
Предмет: История,
автор: Аноним
Предмет: Биология,
автор: AD777