Предмет: Алгебра,
автор: Aravita
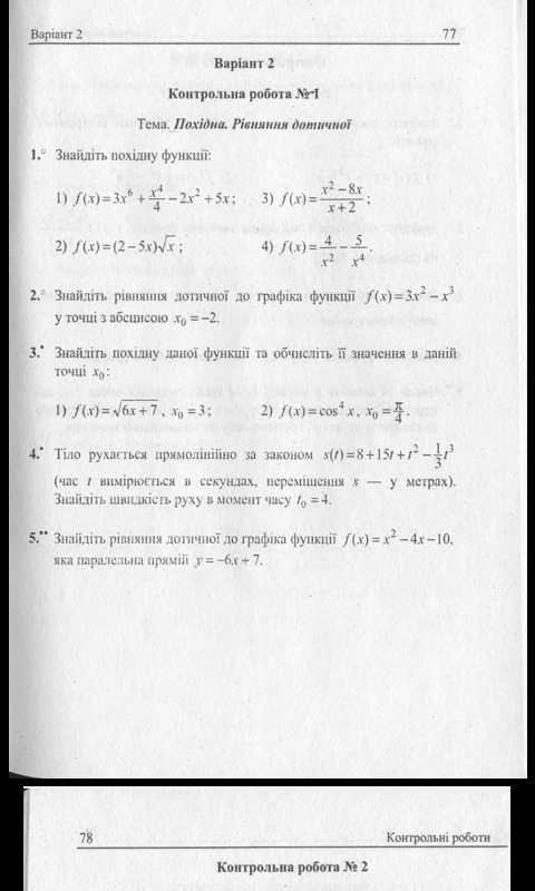
Помогите пожалуйста.
Не понимаю третьє задание. Срочно нужно качественно подготовиться к контрольной. Откуда такое решение в готовых заданиях - ума не приложу.
Прошу, объясните гуманитарию.
Приложения:
Ответы
Автор ответа:
0
В ответах к 1 заданию у вас, видимо ошибка, не иначе.
При решении, второе сошлось. В нем используется решение с помощью замены.
При решении, второе сошлось. В нем используется решение с помощью замены.
Приложения:
Автор ответа:
0
Все равно спасибо
Автор ответа:
0
F'(x)=1/10
F'(x)= 4cos^3 n/4( -sin n/4) = -4
F'(x)= 4cos^3 n/4( -sin n/4) = -4
Приложения:
Похожие вопросы
Предмет: Геометрия,
автор: TRYLATER
Предмет: Литература,
автор: ivanuskinaviktoria76
Предмет: Литература,
автор: ceror0
Предмет: Математика,
автор: Евгений7775123
Предмет: Математика,
автор: Смаил37181