Предмет: Физика,
автор: nazir0674
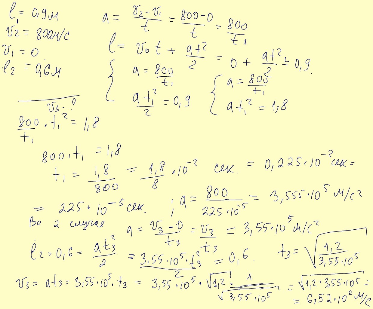
Длина ствола винтовки 90см. Скорость пули при вылете из дула равна 800м/с. Определить скорость пули при вылете, если ствол укоротить на 30см. Движение пули в стволе считать равноускоренным. СРОЧНО НУЖНО! Заранее спасибо.
Ответы
Автор ответа:
0
wdgwregrfheehftghtefhtehthrfghreh
Приложения:
Автор ответа:
0
Спасибо большое
Похожие вопросы
Предмет: Математика,
автор: kiselevpetr1812
Предмет: Литература,
автор: victoriamironova2008
Предмет: Литература,
автор: lejlakaumova299
Предмет: Алгебра,
автор: sasha212015
Предмет: История,
автор: Маргантина