Предмет: Алгебра,
автор: evapik98
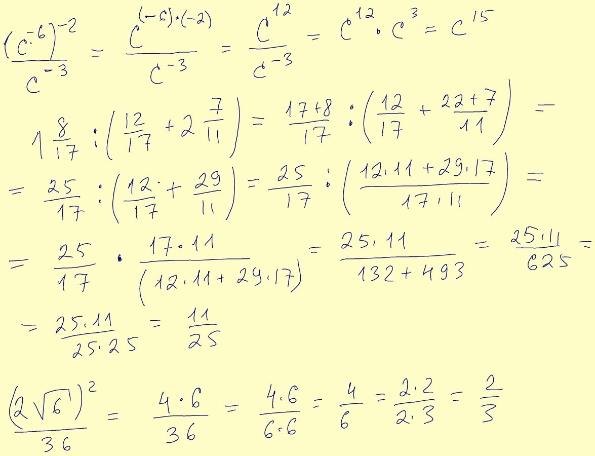
Помоги решить пожалуйста, безвыходное положение решаю и не получается правильный ответ
Приложения:
Ответы
Автор ответа:
0
апрреоркеоркепнконеоенонононе
Приложения:
Похожие вопросы
Предмет: Литература,
автор: veronikastrokin
Предмет: Алгебра,
автор: gddyuggdd
Предмет: История,
автор: katiayusypyshena
Предмет: Математика,
автор: Аноним
Предмет: Математика,
автор: айшат6