Предмет: Алгебра,
автор: SunsetAndMoonrise
25 Балов за одно уравнение:
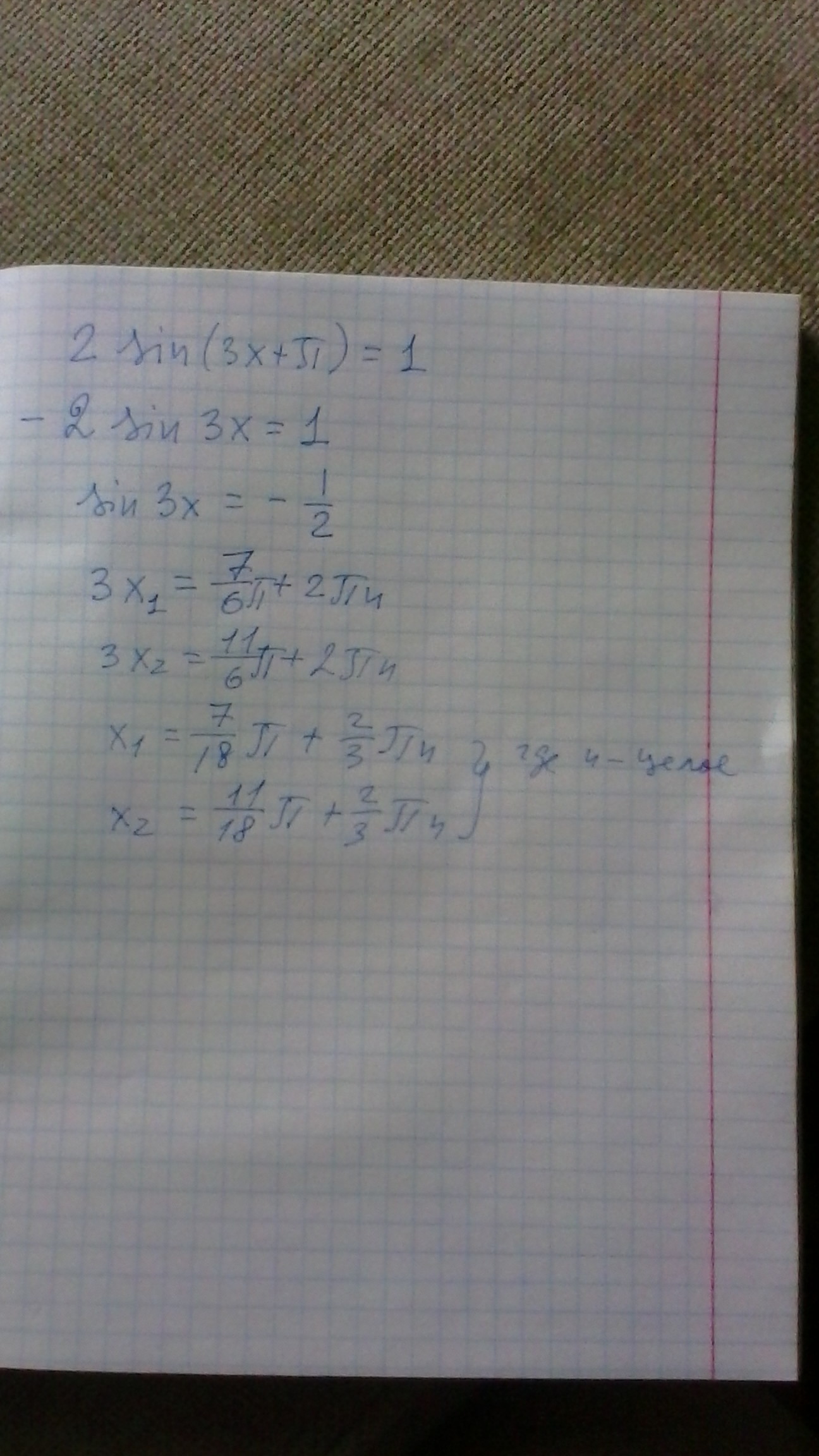
2sin(3x+Pi)=1
Ответы
Автор ответа:
0
на фото ----------------------------------------
Приложения:
Похожие вопросы
Предмет: Физика,
автор: mishkarudo
Предмет: Математика,
автор: gacaanfisa
Предмет: Математика,
автор: Manana7
Предмет: Математика,
автор: эмильбариев