Предмет: Химия,
автор: YesKinder
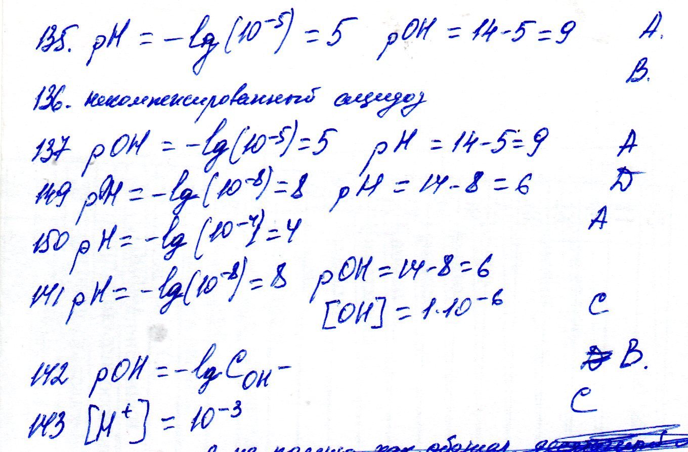
Решите пожалуйста задачи по химии
Приложения:
Ответы
Автор ответа:
0
.................................................................
................................................................
................................................................
Приложения:
Похожие вопросы
Предмет: Математика,
автор: sonikweek
Предмет: Химия,
автор: deshomagazine
Предмет: Алгебра,
автор: lenysazhigalova
Предмет: Математика,
автор: Ius7