Предмет: Алгебра,
автор: smert555
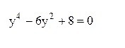
Решите биквадратное уравнение:
Приложения:
Ответы
Автор ответа:
0
-----------------------------------
Приложения:
Похожие вопросы
Предмет: Алгебра,
автор: Аноним
Предмет: Литература,
автор: evyndrenka1515
Предмет: Алгебра,
автор: naidamagomedova699
Предмет: Математика,
автор: kachusova1985
Предмет: История,
автор: 0lenok0