Предмет: Алгебра,
автор: WhyWhyWhy
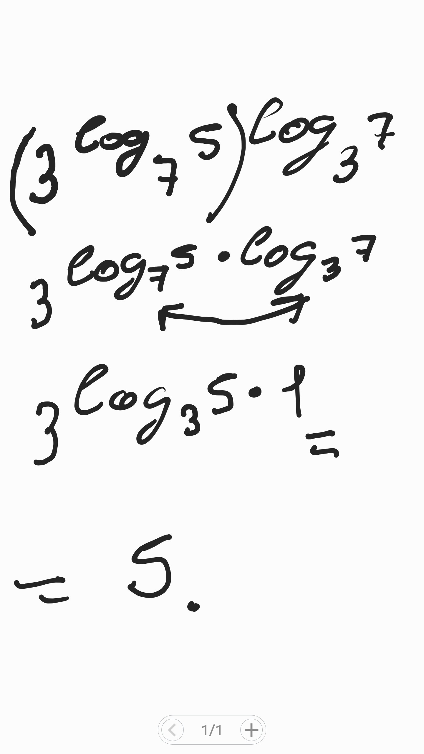
Вычислите значение выражения: (3log 7 5)^log3 7
Приложения:
Ответы
Автор ответа:
0
Вот так уот::::::::::::
Приложения:
Похожие вопросы
Предмет: Математика,
автор: bonbonnita86
Предмет: Математика,
автор: Аноним
Предмет: Литература,
автор: homeswordandre
Предмет: Алгебра,
автор: миланочка14