Предмет: Алгебра,
автор: akolosov2002
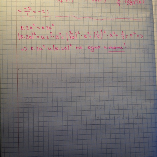
0.2a^2 и (0.2a)^2
Одно и тоже или нет?
Ответы
Автор ответа:
0
Нет, это не одно и тоже, тк в первом выражении только а в квадрате,те 0,2 так и остается, а во втором выражении в квадрате все выражение и получается 0,04а^2
Автор ответа:
0
Ваше задание решено!Ответ с подробным решением, найдёте Вы во вложениях.
Приложения:
Похожие вопросы
Предмет: Алгебра,
автор: hasbik293747
Предмет: Химия,
автор: mstratagus
Предмет: Математика,
автор: Rostystepanov
Предмет: Алгебра,
автор: Алееееенааа