Предмет: Алгебра,
автор: Gameta
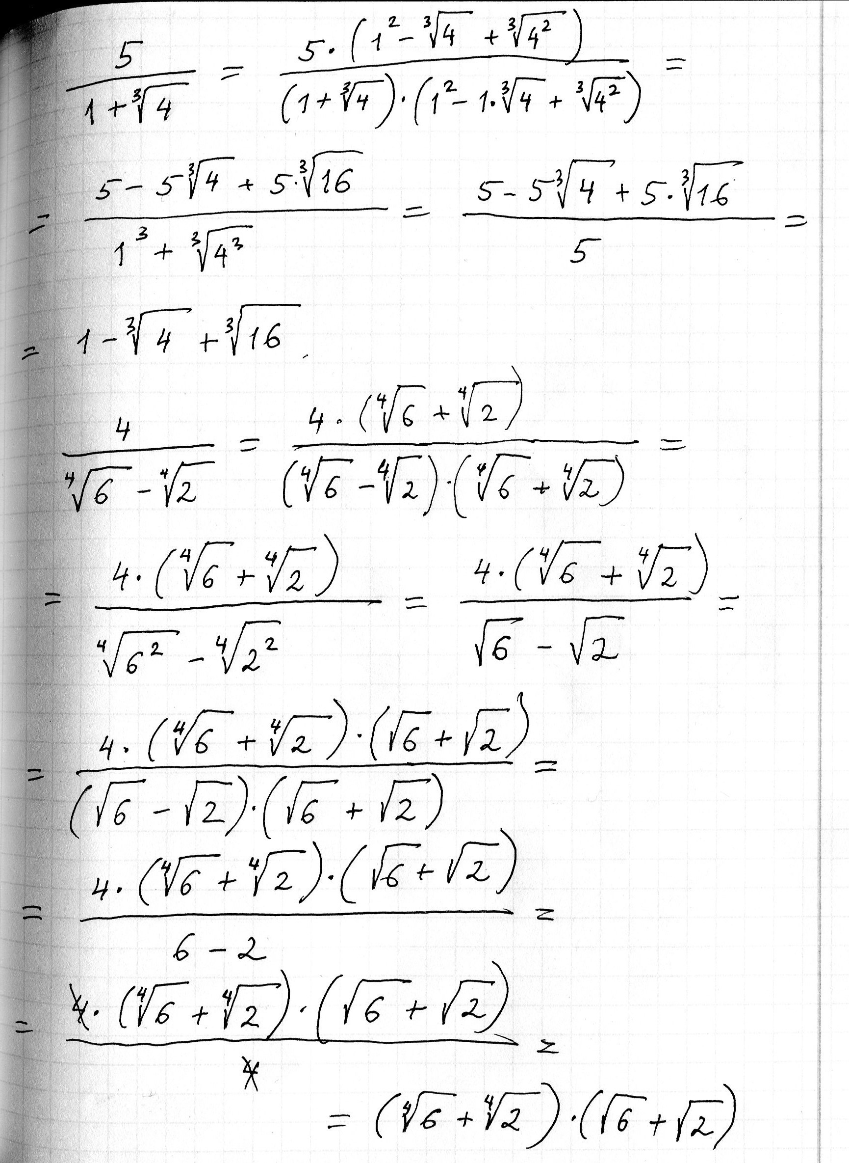
Исключить иррациональность в знаменатиле-тоесть запишите пожалуйста без корней в знаменатиле дроби
Приложения:
Ответы
Автор ответа:
0
Решение на листочке======================>>>
Приложения:
Похожие вопросы
Предмет: Русский язык,
автор: narzib
Предмет: Геометрия,
автор: viracom
Предмет: Математика,
автор: kristi1shvets2000
Предмет: Физика,
автор: vikaserdyukova
Предмет: Математика,
автор: Амелия15