Предмет: Математика,
автор: astapka
пожалуйста помогите
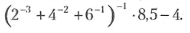
Найти число, если 80% этого числа равны:
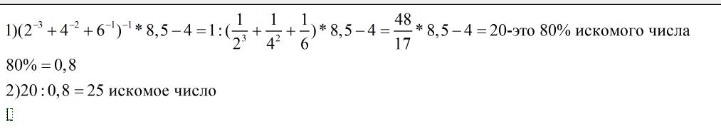
Приложения:
Ответы
Автор ответа:
0
=======================================================================
Приложения:
Похожие вопросы
Предмет: Математика,
автор: harovramil3
Предмет: Английский язык,
автор: ayanatka261009
Предмет: Математика,
автор: Vivas102
Предмет: История,
автор: pigvin34
Предмет: Физика,
автор: Анютична