Предмет: Математика,
автор: grenwen
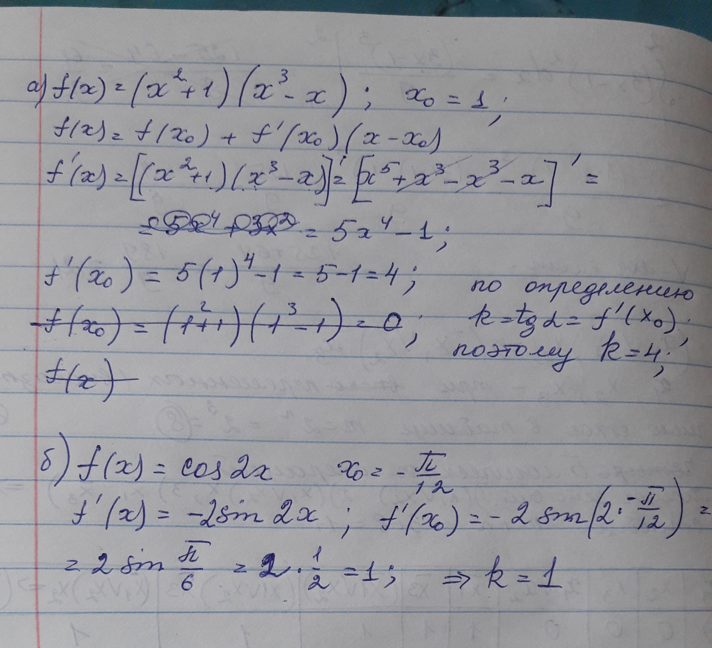
найдите угловой коэффицкнт касательной к графику f(x)в точке x0если:примеры:a)f(x)=(x^2+1)(x^3-x),x0=1. d)f(x)=cos2x,x0=-п/12
Ответы
Автор ответа:
0
найдите угловой коэффицкнт касательной к графику f(x)в точке x0если:примеры:a)f(x)=(x^2+1)(x^3-x),x0=1. d)f(x)=cos2x,x0=-п/12
Приложения:
Похожие вопросы
Предмет: Обществознание,
автор: dasha9122
Предмет: Физика,
автор: Аноним
Предмет: Литература,
автор: aidaallahverdieva25
Предмет: История,
автор: амергалиева