Предмет: Алгебра,
автор: crossoriginal1
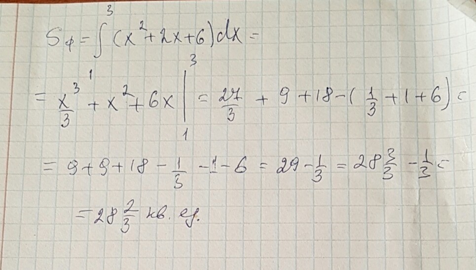
x^2 + 2x+6, y=0, x=1, x=3
Ответы
Автор ответа:
0
решение задания смотри на фотографии
Приложения:
Похожие вопросы
Предмет: Математика,
автор: linkl6903
Предмет: Английский язык,
автор: 281019pmp
Предмет: Математика,
автор: haha12399
Предмет: Алгебра,
автор: aza2015