Предмет: Алгебра,
автор: Nozhka
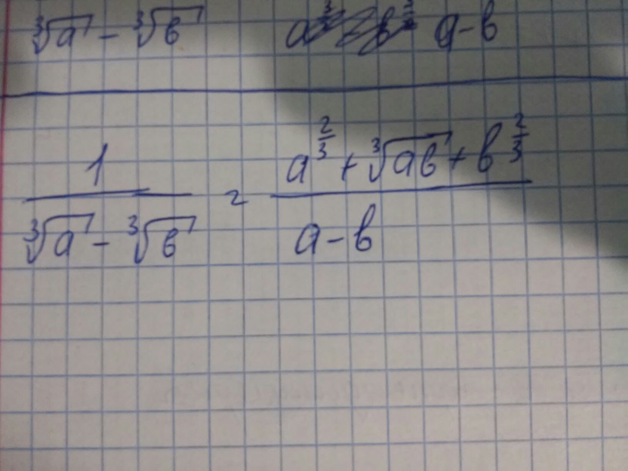
Срочно!!!! Прошууууу Моооолююююююю Помогите пожалуйста алгебра корни n-ной степени 9 класс. Представьте в виде дроби с рац. знаменателем.
Приложения:
Ответы
Автор ответа:
0
Скорее всего так. Надеюсь это верно. Внизу разность кубов таится, поэтому домножили и числитель и знаменатель на вторую часть формулы "разность кубов". Соответственно знаменатель свернулся в рациональное выражение (а-b), а все плохое осталось наверху)
Приложения:
Автор ответа:
0
Спасибо большое)))
Автор ответа:
0
Да, извиняюсь что я так написал, надеюсь вы поняли) Вся суть в том, чтобы домножить на другую часть формулы)
Похожие вопросы
Предмет: Математика,
автор: naumovaea
Предмет: Українська мова,
автор: 19krasotka92
Предмет: Биология,
автор: max2008official
Предмет: Химия,
автор: m89056490781