Предмет: Алгебра,
автор: рик54
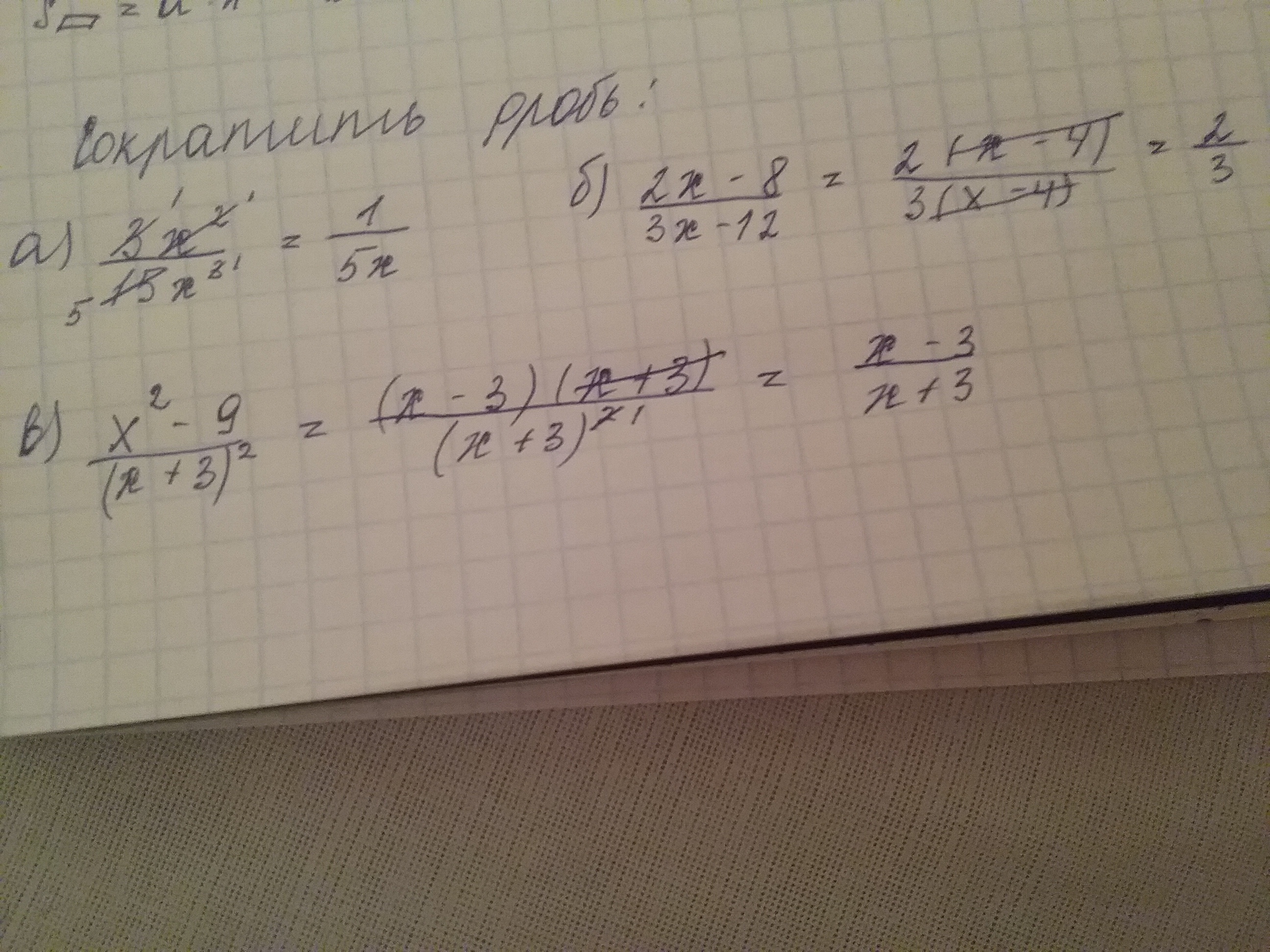
помогите сократить дробь
Приложения:
Ответы
Автор ответа:
0
Было легче лёгкого!
Приложения:
Похожие вопросы
Предмет: Русский язык,
автор: shadow791
Предмет: Математика,
автор: Uka4540
Предмет: Математика,
автор: cosmosgirlhlamour05
Предмет: Математика,
автор: Шакрукх1
Предмет: Математика,
автор: rbngbf