Предмет: Алгебра,
автор: trufanov99
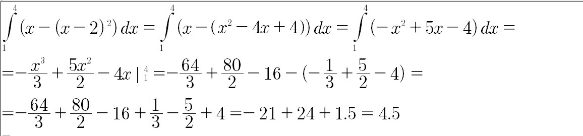
найдите площадь фигуры,ограниченой линиями:параболой y=(x-2)^2,прямой y=x, и осью Ox
Ответы
Автор ответа:
0
см фото
===============================
+ вычисления
===============================
+ вычисления
Приложения:
Похожие вопросы
Предмет: Математика,
автор: alexhaivoronsky09
Предмет: Английский язык,
автор: Dgjiy
Предмет: Английский язык,
автор: lsoyl
Предмет: Математика,
автор: TonyBlack