Предмет: Математика,
автор: Linadragel
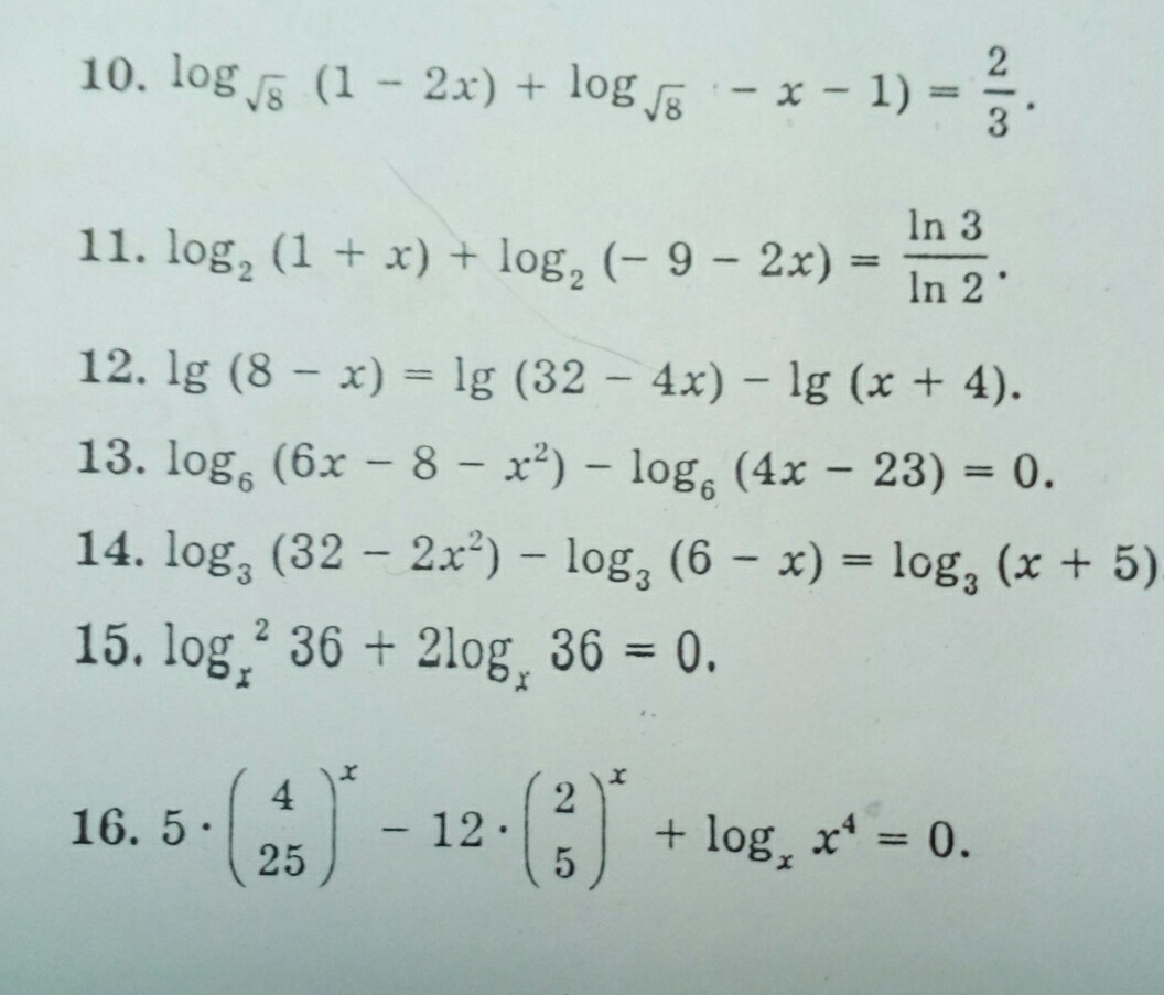
пожалуйста!!! с 10 по 16 по возможности
Приложения:
Ответы
Автор ответа:
0
нет у меня на клавиатуре корня, поэтому вместо знака корня буду ставить №)
10. 2/3=loq (с основанием корень из 8) корень из 8 в степени 2/3=loq (c основанием корень из 8) (корень из 8 возводим в квадрат и извлекаем кубический корень) 2
loq №8 (1-2х)*(-х-1)=loq №8 (2) основания одинаковые можем приравнять
(1-2х)*(-х-1)=2 открываем скобки 2х^2+х -1=2 находим корни х=-1,5 х=1
ОДЗ так как №8 больше 0, то 1-2х больше 0 х меньше 0,5
-х-1 больше 0, то х меньше -1, то есть для всего уравнения х меньше -1
ответ х=-1,5
10. 2/3=loq (с основанием корень из 8) корень из 8 в степени 2/3=loq (c основанием корень из 8) (корень из 8 возводим в квадрат и извлекаем кубический корень) 2
loq №8 (1-2х)*(-х-1)=loq №8 (2) основания одинаковые можем приравнять
(1-2х)*(-х-1)=2 открываем скобки 2х^2+х -1=2 находим корни х=-1,5 х=1
ОДЗ так как №8 больше 0, то 1-2х больше 0 х меньше 0,5
-х-1 больше 0, то х меньше -1, то есть для всего уравнения х меньше -1
ответ х=-1,5
Похожие вопросы
Предмет: Математика,
автор: dmitriy2800
Предмет: Математика,
автор: GTROZ
Предмет: Русский язык,
автор: memmedovaselale30
Предмет: Математика,
автор: lena620
Предмет: Математика,
автор: akiljan