Предмет: Алгебра,
автор: dememchukova
Помогите пожалуйста
Приложения:
Ответы
Автор ответа:
0
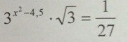
3^(x^2 - 4,5) * 3^(0,5) = 3^( - 3)
3^(x^2 - 4,5 + 0,5) = 3^ ( - 3)
3^(x^2 - 4) = 3^ ( - 3)
x^2 - 4 = - 3
x^2 = 1
x = ± 1
3^(x^2 - 4,5 + 0,5) = 3^ ( - 3)
3^(x^2 - 4) = 3^ ( - 3)
x^2 - 4 = - 3
x^2 = 1
x = ± 1
Похожие вопросы
Предмет: Литература,
автор: ttiiiirinatovna28
Предмет: Математика,
автор: pylypivevgenia
Предмет: Физика,
автор: Аноним
Предмет: География,
автор: алинка176