Предмет: Алгебра,
автор: Аноним
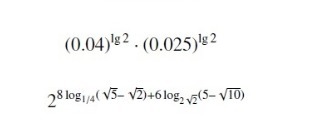
Вычислите,задания во вложении
Приложения:
Ответы
Автор ответа:
0
Ответ ответ ответ ответ ответ
Приложения:
Похожие вопросы
Предмет: Математика,
автор: dimimylka854
Предмет: Алгебра,
автор: milkaro911
Предмет: Геометрия,
автор: paantetaa
Предмет: Математика,
автор: Chugunova1965l
Предмет: Математика,
автор: Аноним