Предмет: Алгебра,
автор: anitapirkhonen
с подробным решением пож
найдите корень уравнения
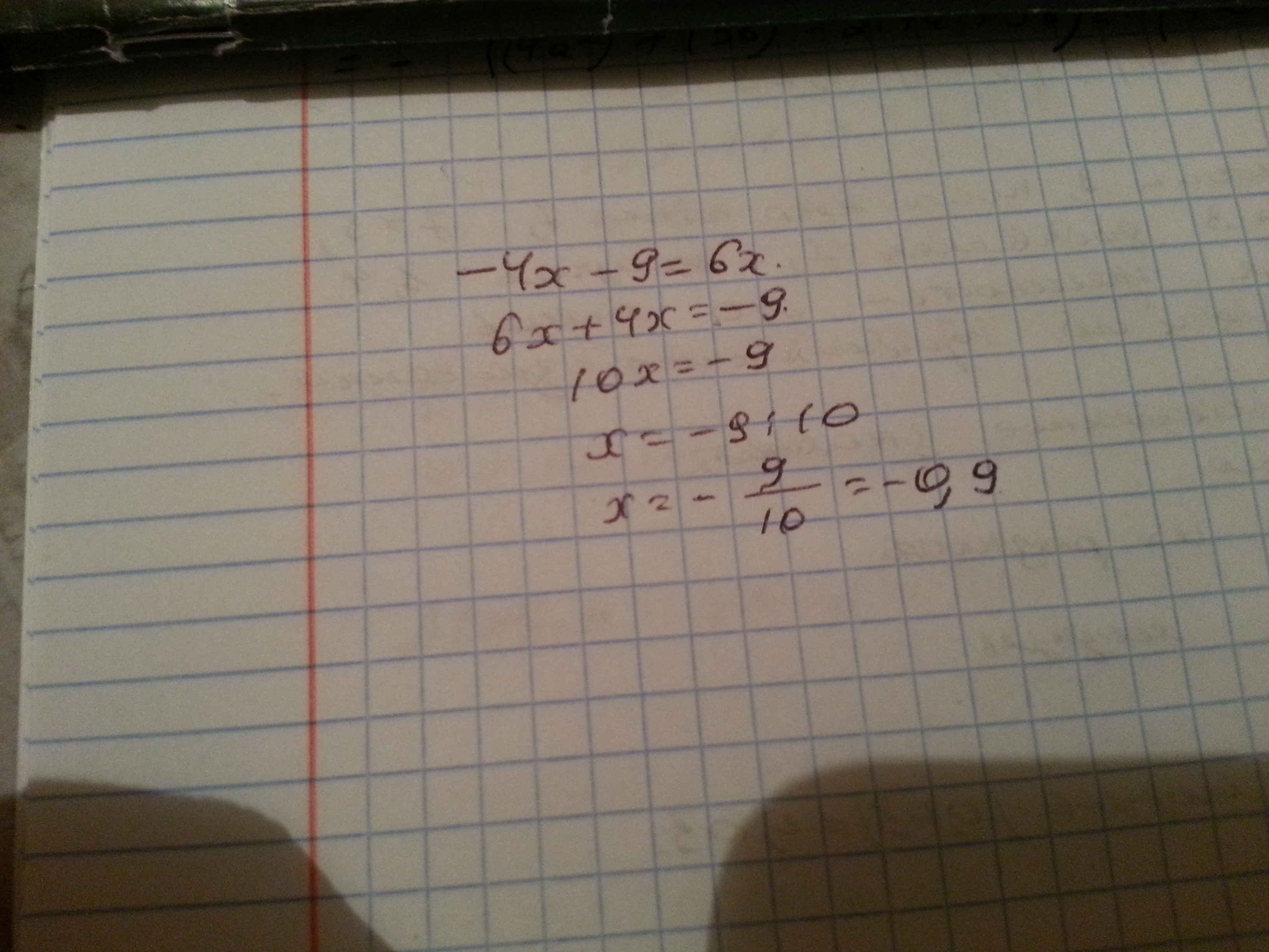
-4х-9=6х
Ответы
Автор ответа:
0
- 4x - 9 = 6x
- 4x - 6x = 9
- 10x = 9
x = - 9/10
x = - 0,9
- 4x - 6x = 9
- 10x = 9
x = - 9/10
x = - 0,9
Автор ответа:
0
Ответ ответ ответ ответ ответ
Приложения:
Похожие вопросы
Предмет: Другие предметы,
автор: chakinalex2008
Предмет: Другие предметы,
автор: Аноним
Предмет: Литература,
автор: RomaRas
Предмет: Математика,
автор: h3y5q