Предмет: Алгебра,
автор: Rushana14
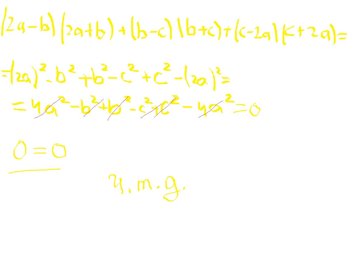
Докажите, что
(2 a – b )(2 a + b ) + ( b – c )( b + c ) + ( c – 2 a )( c + 2 a ) = 0.
Ответы
Автор ответа:
0
Задание решено!!!Ответь во вложении!!!
Приложения:
Автор ответа:
0
Не за что,обращайся!
Похожие вопросы
Предмет: Английский язык,
автор: Narinebaghdasaryan01
Предмет: Математика,
автор: garem41ks
Предмет: Физкультура и спорт,
автор: ivankagoncaruk079
Предмет: Математика,
автор: гаухармир