Предмет: Математика,
автор: homersimpson11
помогите!!! решить неравенство
Приложения:
Ответы
Автор ответа:
0
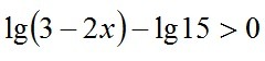
lg(3 - 2x) > lg 15; основание логарифма 10>1⇒ 3-2x >15⇒
2x<3-15; 2x<-12; x< - 6.
Поскольку из 3-2x>15⇒3-2x>0, ОДЗ проверять не надо
Ответ: (-∞; - 6)
2x<3-15; 2x<-12; x< - 6.
Поскольку из 3-2x>15⇒3-2x>0, ОДЗ проверять не надо
Ответ: (-∞; - 6)
Похожие вопросы
Предмет: Математика,
автор: Mart1ans
Предмет: Українська мова,
автор: nasta228da
Предмет: Математика,
автор: kovalcdiana
Предмет: Физика,
автор: aisilou67
Предмет: Обществознание,
автор: dashakotyara