Предмет: Алгебра, автор: cany1364

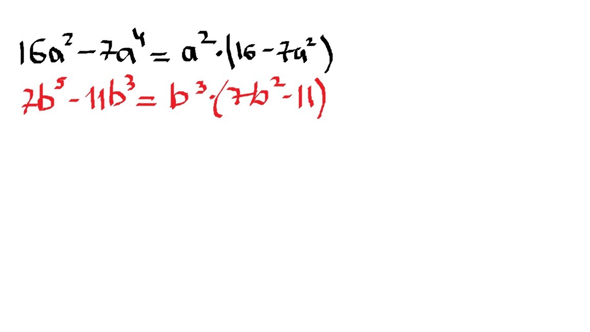
разложите многочлен на множители:16a^2-7a^4;7b^5-11b^3

Ответы

Автор ответа: Kixcertborn2
0
Задание решено!!!Ответ во вложении!!
Приложения:
Автор ответа: Kixcertborn2
0
Лайк то поставь)
Автор ответа: cany1364
0
лови)
Автор ответа: cany1364
0
))))
Похожие вопросы
Предмет: Математика, автор: polinaakovec610
Предмет: История, автор: Аноним
Предмет: История, автор: Аноним