Предмет: Алгебра,
автор: Juliag69
Ответы
Автор ответа:
0
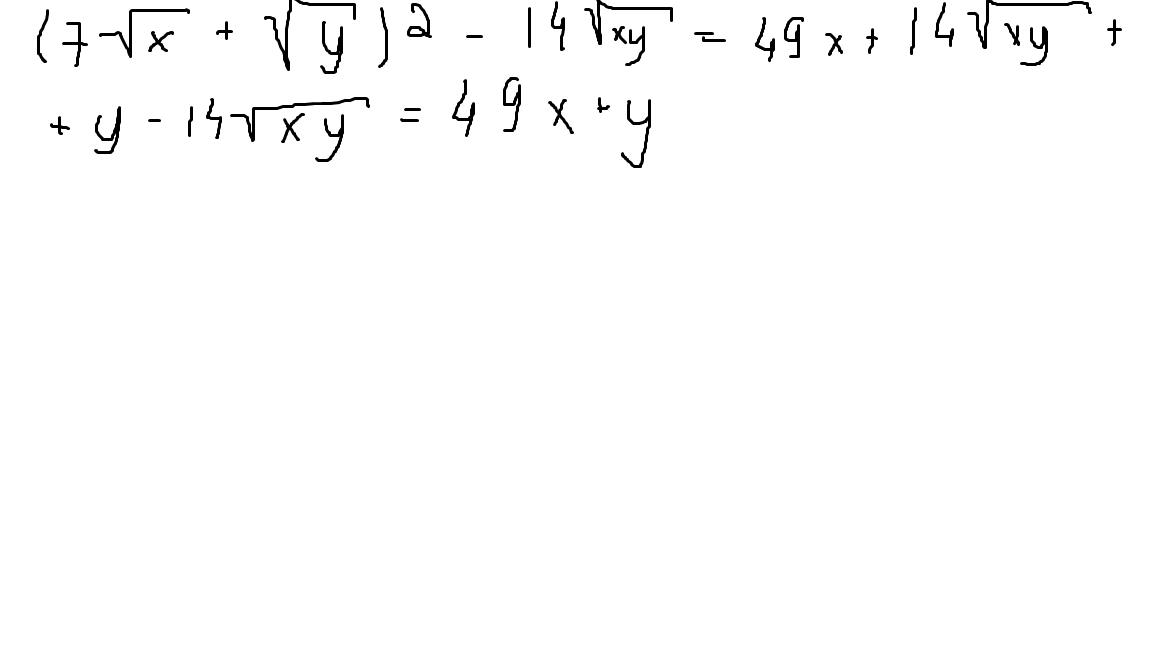
2. См. вложения
3. При x=6 y=9 (смотрим по графику)
Т.к. это парабола, ветви которой направлены вверх, но наим. значение будет достигаться в вершине. (2; 2)
5. См. вложения
8. a(n) = a1 + (n-1)d
а2 = а1 + d
a1 = a2 - d
a1 = 5-d
S(n)= a1 + an/2 * n
S20 = (a1+a20)*20/2 = 1460
(a1+a20)*10 = 1460
a1+a20 = 146
a1 + a1+ 19d = 146
2a1 + 19d = 146
2(5-d) + 19d = 146
10 - 2d + 19d = 146
17d = 136
d = 136/17 = 8
a1 = 5-d
a1 = 5-8
a1 = -3
Могу помочь только с этими номерами.
Приложения:
Похожие вопросы
Предмет: Английский язык,
автор: hetopa
Предмет: Қазақ тiлi,
автор: samirakokos26
Предмет: Математика,
автор: oi527919
Предмет: Геометрия,
автор: Tobi2
Предмет: География,
автор: лагплз