Предмет: Математика,
автор: fleghjek12378
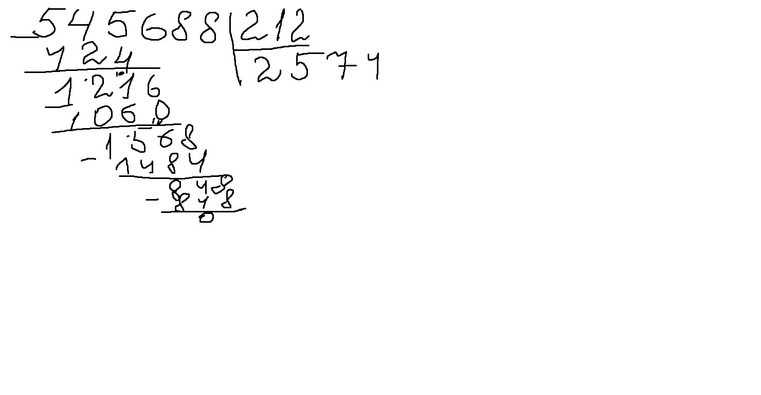
проверка примера: 2574*212 плиз помогите
Ответы
Автор ответа:
0
держи)))))))))))))))))
Приложения:
Автор ответа:
0
покажи решение проверки
Автор ответа:
0
2 фотка
Автор ответа:
0
твои фотки
Похожие вопросы
Предмет: Математика,
автор: milkiwey12
Предмет: Английский язык,
автор: marinett1206
Предмет: Английский язык,
автор: Lol1308
Предмет: Физика,
автор: sevastopoleff20
Предмет: Физика,
автор: Всегданужнапомощь