Предмет: Алгебра,
автор: Аноним
ПОМОГИТЕ ПОЖАЛУЙСТА !
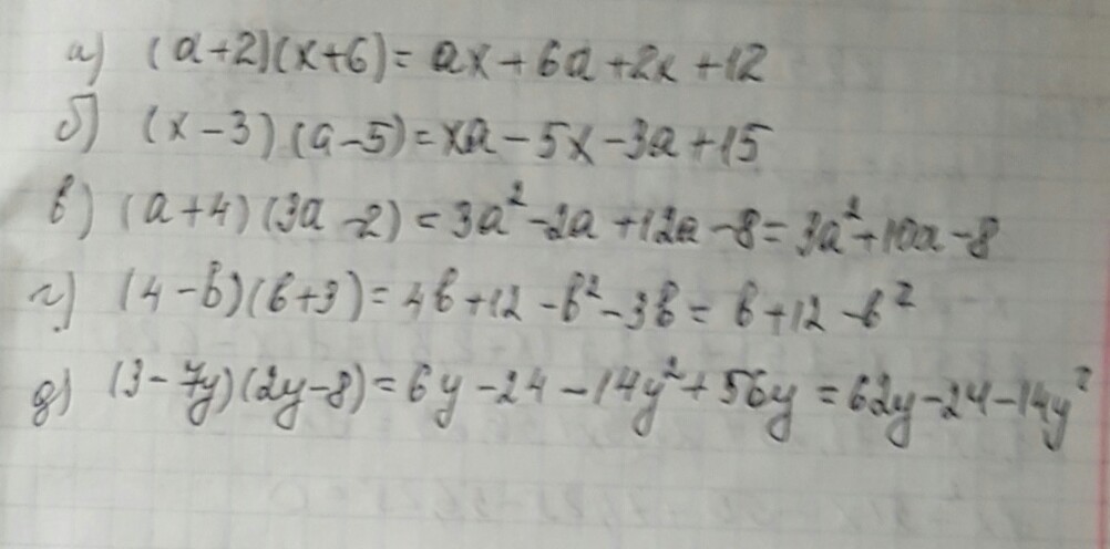
Выполните умножение:
А) (a+2)(x+6)
Б) (х-3)(a-5)
В) (a+4)(3a-2)
Г) (4-b)(b+3)
Д) (3-7y)(2y-8)
Ответы
Автор ответа:
0
решение задания смотри на фотографии
Приложения:
Похожие вопросы
Предмет: Обществознание,
автор: flix46186
Предмет: Русский язык,
автор: trin310566
Предмет: Русский язык,
автор: trin310566
Предмет: Математика,
автор: akjol20041
Предмет: Алгебра,
автор: данил153нн