Предмет: Алгебра, автор: Башкатый

Помогите пожалуйста я вас очень прошу.Умоляю. Помогите!!!

Приложения:

Ответы

Автор ответа: LFP
0
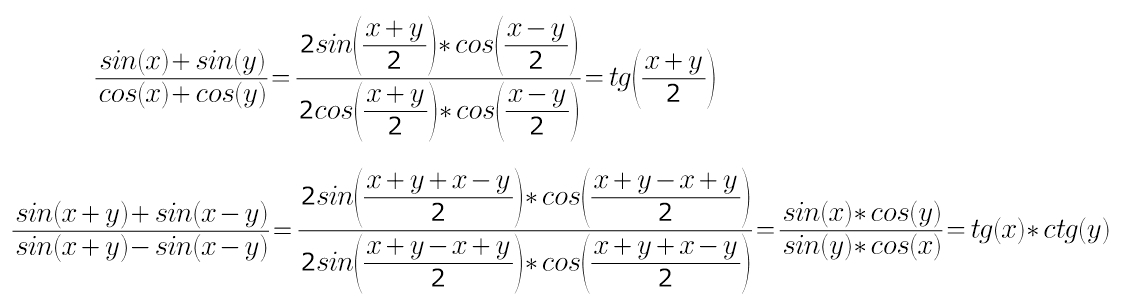
формулы: сумма (разность) синусов,
                  сумма косинусов...
Приложения:
Похожие вопросы
Предмет: Физика, автор: Poi385
Предмет: Английский язык, автор: morozovamilena331
Complete the jokes with one of the following:
always pulled didn't like her kissed her face
smashed his false teeth married the wrong man ended
decided to leave worked as a Tax Inspector
When I was a student I lived with a farmer and his wife. The first day I was there, one of the chickens died and we had chicken soup for dinner. The second day a sheep died and we had lamb chops. The following day a duck died and we had roast duck. The next day the farmer died, so I …
2
2 At a show a very strong man squeezed an orange hard and then shouted to the audience: "I will give €30 to the person who can get any more juice out of this orange." Three very big men tried but none of them could get any more juice out of the orange. Then a thin, old man picked it up. When he squeezed it, five drops of juice dripped from it. The three big men were amazed and asked the old man: > How did you do that?
3 You're wearing your wedding
ring on the wrong finger. > I know. I
Do you know how my grandmother stopped my grandfather biting his fingernails? She
5 Mum, Aunt Sarah kissed me.
> Did you kiss her back? Of course not,
6 Did the film have a happy ending?
> Well, everybody was happy when it
7 My mother never liked any of my girlfriends. Last week I invited my latest girlfriend home. She looked like my mother, talked like my mother and even dressed like her. > What did your mother think of her? She liked her a lot. > Well, that's the end of your problems! Not quite. My father
8 I think I was very ugly when I was a baby.
> Why do you think that? Well, when I was in my pram my mother didn't push it, she behind her!
it