Предмет: Алгебра,
автор: raxilyashabano
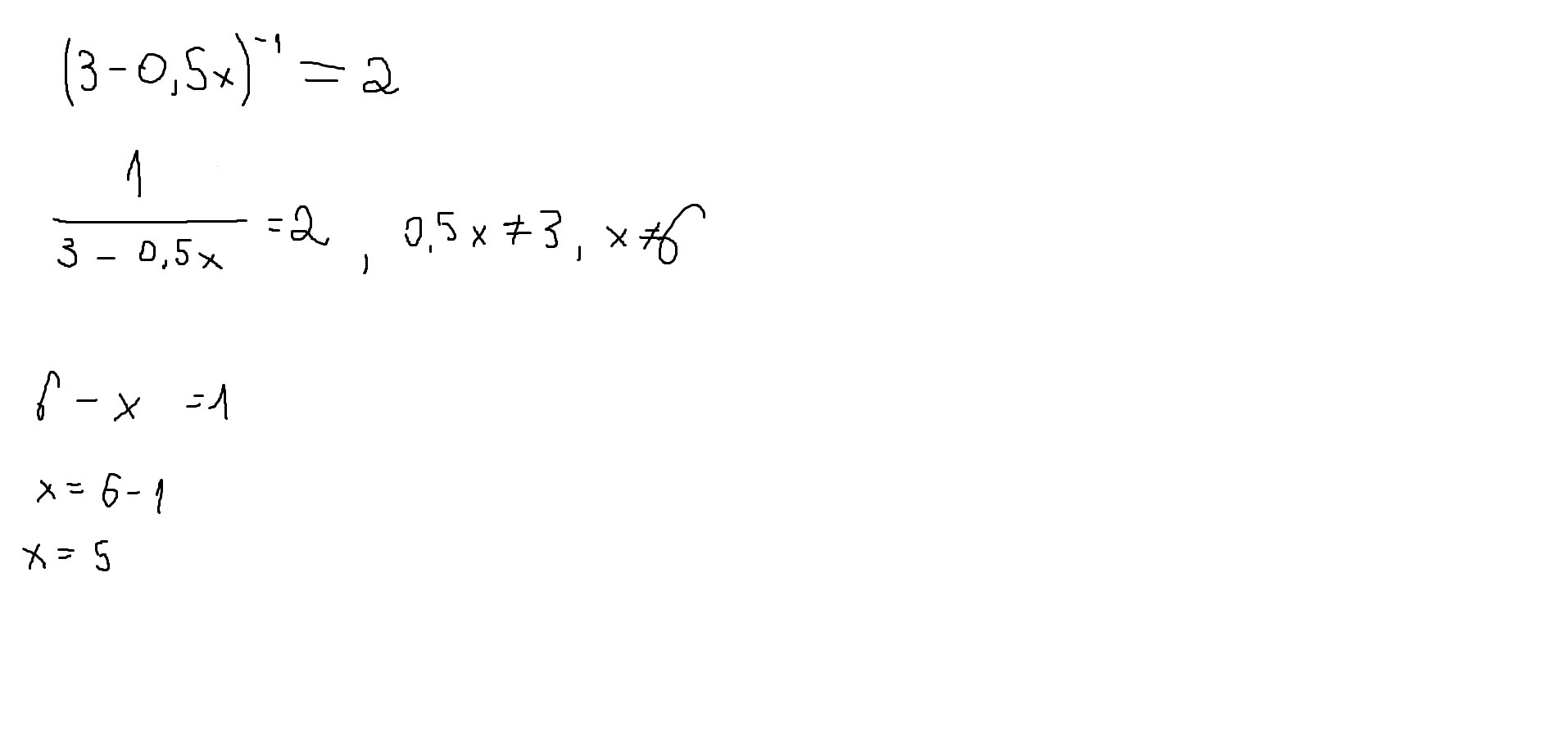
Решите уравнение на фото +решение
Приложения:
Ответы
Автор ответа:
0
............................................
Приложения:
Похожие вопросы
Предмет: Английский язык,
автор: KimAivi16
Предмет: Английский язык,
автор: KimAivi16
Предмет: Математика,
автор: МатематическийМозг
Предмет: Математика,
автор: wot2016
Предмет: Математика,
автор: karinabocharni