Предмет: Математика, автор: soffa

(Корень из 3)+i записать в стандартной тригонометрической форме

Ответы

Автор ответа: Trover
0
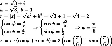
z=sqrt3+i\a=sqrt3,;b=1\r=|z|=sqrt{a^2+b^2}=sqrt{3+1}=sqrt4=2\begin{cases}cosphi=frac a{r}\sinphi=frac brend{cases}Rightarrowbegin{cases}cosphi=frac{sqrt3}2\sinphi=frac12end{cases}Rightarrowphi=fracpi6\z=rcdot(cosphi+isinphi)=2left(cosleft(fracpi6right)+isinleft(fracpi6right)right)
Приложения:
Похожие вопросы
Предмет: Русский язык, автор: ar4075040
Предмет: Русский язык, автор: ar4075040