Предмет: Алгебра,
автор: Pivn9x
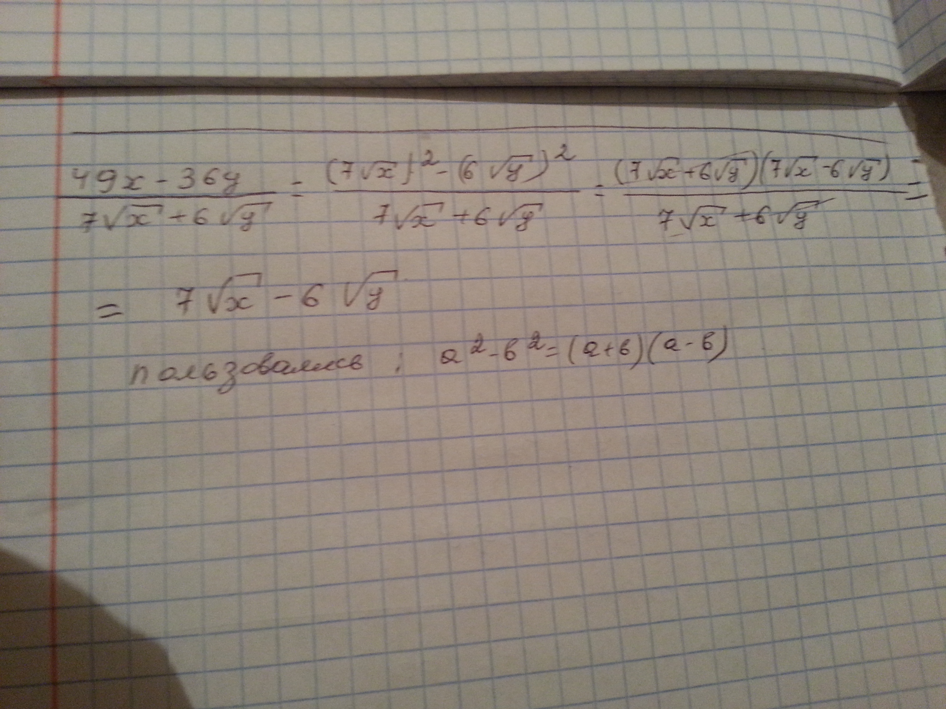
49x-36 y /7√x +6√y огэ 21 задание
Ответы
Автор ответа:
0
Ответ ответ ответ ответ ответ
Приложения:
Похожие вопросы
Предмет: Математика,
автор: kondratenko0909
Предмет: Математика,
автор: BOPiIIIKA
Предмет: Математика,
автор: zahardidikin21
Предмет: Алгебра,
автор: Vaskaaska
Предмет: Математика,
автор: irinkatea