Предмет: Математика,
автор: Ива672636
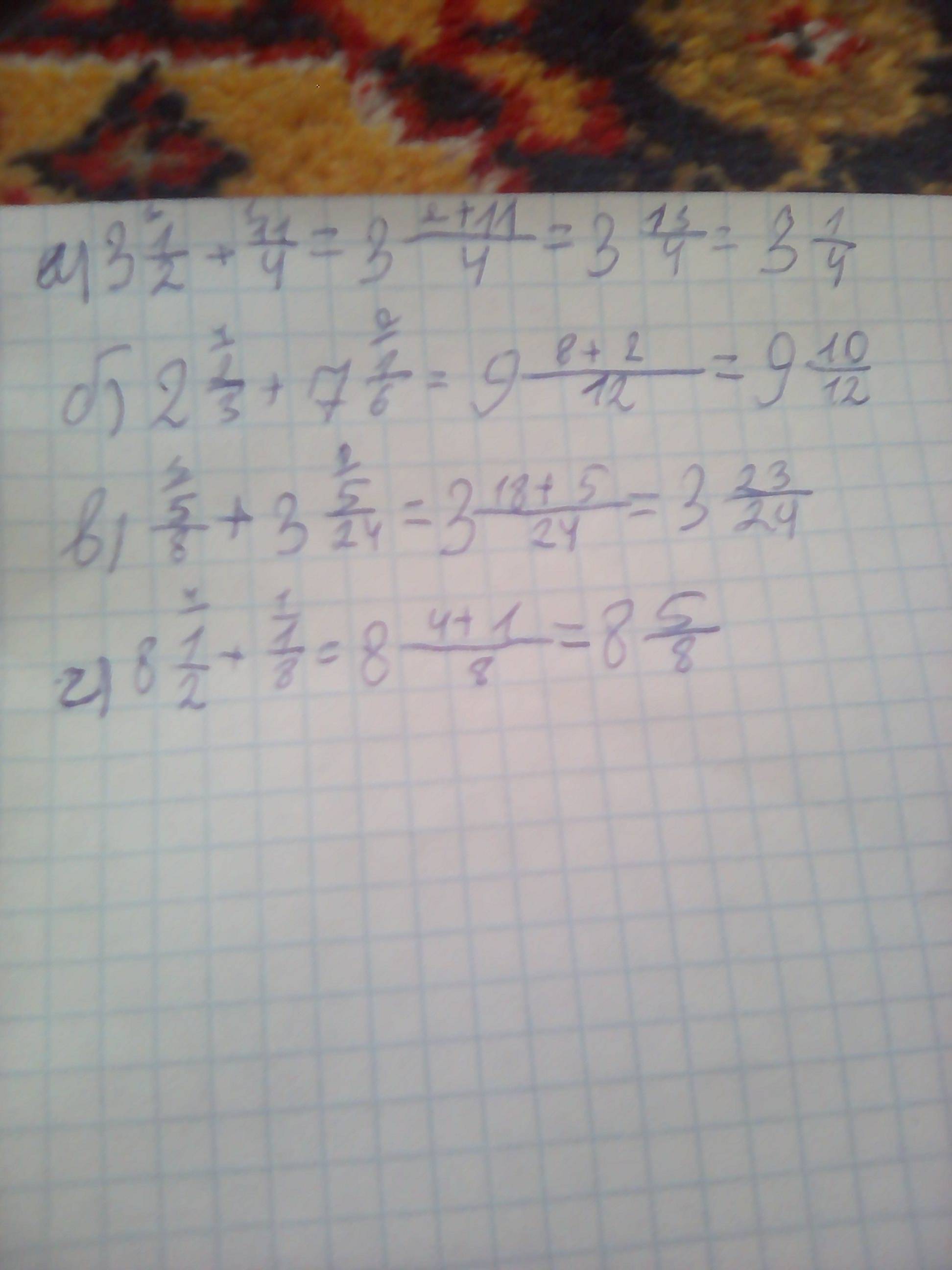
Выполните сложение:
а)3 1/2 + 1 1/4;
б)2 2/3 + 7 1/6;
в)5/8 + 3 5/24;
г) 8 1/2 + 1/8.
Ответы
Автор ответа:
0
а)3 1/2 + 1 1/4= 3 2/4 + 1 1/4 = 4 3/4
б)2 2/3 + 7 1/6 = 2 4/6 + 7 1/6 = 9 5/6
в)5/8 + 3 5/24= 15/24 + 3 5/24 = 3 20/24 = 3 5/6
г) 8 1/2 + 1/8 = 8 4/8 + 1/8 = 8 5/8
б)2 2/3 + 7 1/6 = 2 4/6 + 7 1/6 = 9 5/6
в)5/8 + 3 5/24= 15/24 + 3 5/24 = 3 20/24 = 3 5/6
г) 8 1/2 + 1/8 = 8 4/8 + 1/8 = 8 5/8
Автор ответа:
0
Решение пример:)))))))))
Приложения:
Похожие вопросы
Предмет: Математика,
автор: 7oloanas3asiap4pi6a
Предмет: Алгебра,
автор: ofadeevich
Предмет: Русский язык,
автор: dashsasid20068
Предмет: Математика,
автор: АндрейПет