Предмет: Математика,
автор: zasqad
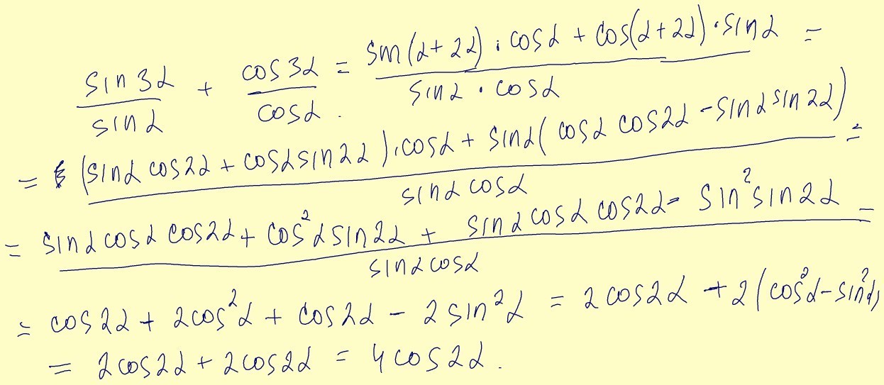
Помогите решить : sin3a/sina + cos3a/cosa
Ответы
Автор ответа:
0
sfdsqfsafsafsafsafsafsafsafsafsa
Приложения:
Похожие вопросы
Предмет: Алгебра,
автор: veragrigoryan06
Предмет: Математика,
автор: XoLoDoK2004
Предмет: Химия,
автор: ik8qw5gz9x
Предмет: Математика,
автор: серенький3
Предмет: Математика,
автор: головноймозг