Предмет: Математика,
автор: SakuraSav
Помогите пожалуйста решить
Приложения:
Ответы
Автор ответа:
0
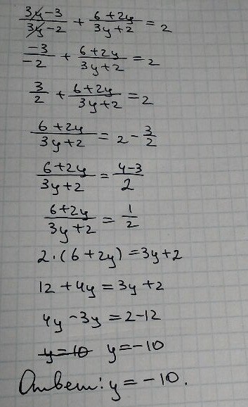
Ответ во вложении. Если что-то непонятно, пиши.
Приложения:
Похожие вопросы
Предмет: Русский язык,
автор: werture7
Предмет: Информатика,
автор: DealerR
Предмет: Химия,
автор: narytoalisa
Предмет: Математика,
автор: ккамелла
Предмет: Алгебра,
автор: solas